Interval Arithmetic
This is a test.
Update January 6, 2010
I have uploaded a file that has additional details about the calculations.
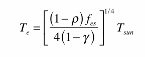
A radiative-energy balance for the Earth is

where

Solving the equation for the Earth-surface temperature gives

None of the quantities in the equations are known with absolute precision. Interval arithmetic provides a convenient method to automatically account for the uncertainties in the quantities.
The nominal values for the parameters of interest include

and we’ll take the Earth-Sun view factor to be known with precision. The value for the luminosity of the Sun has been calculated using the listed value for the Sun temperature.
We take the following estimates (EWAGs) for the uncertainties; the ultra violet reflectivity varies by plus or minus 5 %, the infra red reflectance also by 5 %, and the Sun temperature by plus or minus 50 K, we get the following ranges for the quantities

I’ll check that luminosity ‘Real Soon Now’.
[…] have carried out the sensitivity calculations discussed in this post for the equation discussed in this postand uploaded a […]